近日,食品与生物工程学院周拯副教授在食品经典期刊Food Hydrocolloids发表题为"Impact of interfacial rigidity on the rheological properties of high internal phase Pickering emulsions stabilized by casein, walnut protein isolate, and their complexes”的研究论文,食品与生物工程学院食品科学专业研究生蒋睿同学为该论文的第一作者,周拯为该论文的通讯作者。该论文的完成得到了食品与生物工程学院食品营养与安全团队及学院设备共享平台的大力支持。
摘要Abstract
研究了界面刚度对高内相皮克林乳液(HIPPEs)可调流变性能的影响。为了制备具有不同柔韧性的蛋白样品,将核桃分离蛋白(WPI)通过pH转移法与酪蛋白(CA)络合,并进一步与京尼平交联。CA/WPI和京尼平交联CA/WPI (G-CA/WPI)纳米配合物的粒径明显减小(小于150 nm), β-片含量增加,刚性增强。CA/WPI和G-CA/WPI具有较好的润湿性(接近90°),其界面张力相对高于CA 2.5 ~ 5 mN/m。值得注意的是,石英晶体微天平(QCM)研究表明,与CA, WPI或它们的混合物(M-CA/WPI)吸附相比,CA/WPI和G-CA/WPI吸附的油水界面表现出更大的界面刚度(低耗散位移< 1.2 × 10⁻26)。由2% CA/WPI和G-CA/WPI稳定的hipes,其油滴大小与由CA或M-CA/WPI稳定的HIPPEs相当,但它们的储存模量显著提高了1.5 - 5倍,临界应力提高了25倍,表明它们的粘弹性性能得到了改善。Lissajous-Bowditch曲线进一步证实了CA/WPI和G-CA/WPI制备的HIPPEs具有更强的抗变形能力。这些发现强调了蛋白质颗粒刚度在稳定的HIPPEs流变特性中的关键作用,指导了具有定制应用的新型HIPPEs的设计。

亮点Highlights
•通过pH转移制备酪蛋白/核桃分离蛋白复合物(CA/WPI)。
•CA/WPI和京尼平交联CA/WPI增加了β-折叠,增强了刚性。
•CA/WPI配合物吸附的界面具有较高的界面刚度。
•CA/WPI配合物稳定的HIPPEs具有增强的刚度。
•HIPPEs的流变性能与界面刚度密切相关。
图表Figures and Tables

图 1.CA、WPI、不同配比制备的CA/WPI、G-CA/WPI的粒径分布(a)、zeta电位(b)、微观结构(c).

图 2.CA、WPI、CA/WPI和G-CA/WPI的本征荧光光谱(a)、圆二色光谱(b)和柔韧性(c)。

图 3.CA、WPI、M-CA/WPI、CA/WPI、G-CA/WPI油水界面三相接触角(a)、界面张力(b)、界面压力(c)。

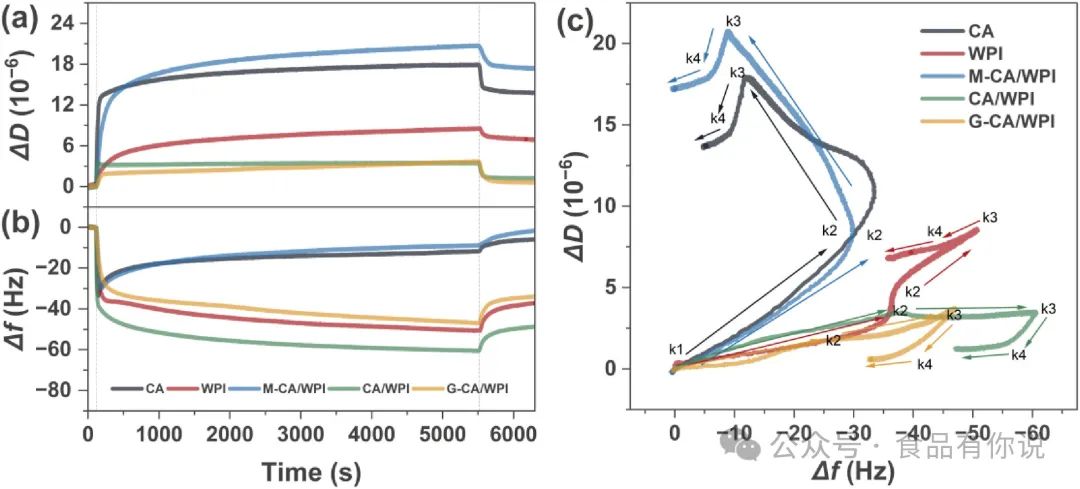
图 4.在CA、WPI、CA/WPI、M-CA/WPI和G-CA/WPI的第三泛音处,归一化频率(a)和耗散(b)随时间的变化而变化。(c)吸附和洗涤过程中第三次泛音的ΔD/Δf图。

图 5.用0.5%-2% CA、WPI、CA/WPI、M-CA/WPI和G-CA/WPI稳定hipes显微镜图像。图中描述了HIPPEs的视觉外观。

图 6.(a)添加2% CA、WPI、CA/WPI、M-CA/WPI和G-CA/WPI后,HIPPEs中油滴尺寸分布稳定。(b)在ddH2O或SDS中测量的HIPPEs的平均油滴大小。

图 7.用2% CA、WPI、CA/WPI、M-CA/WPI和G-CA/WPI稳定HIPPEs的CLSM图像。油相用尼罗河红染成绿色,连续相用尼罗河蓝A染成红色。

图 8.CA、WPI、CA/WPI、M-CA/WPI和G-CA/WPI稳定HIPPEs的流变特性。(a)表观粘度测量,(b)应变扫描,(c)频率扫描,(d) HIPPEs蠕变恢复曲线。

图 9.CA、WPI、CA/WPI、M-CA/WPI和G-CA/WPI稳定的HIPPEs的弹性Lissajous图(a)和粘性Lissajous图(b)。

图 10.CA、WPI、CA/WPI、M-CA/WPI和G-CA/WPI吸附的油水界面示意图,以及这些蛋白稳定的HIPPEs。
总结Conclusion
综上所述,本研究探讨了界面刚度对hips流变性能的影响。结果表明,与具有柔性结构的CA相比,与刚性更强的WPI络合可以有效地增加CA/WPI和G-CA/WPI配合物的刚性。CA/WPI和G-CA/WPI具有较好的润湿性,但界面张力相对高于CA和M-CA/WPI。QCM-D结果表明,CA/WPI吸附层的界面刚度显著提高,从而增强了稳定hipes的强度。Genipin交联进一步提高了G-CA/ wpi吸附油水界面的刚性,固化了生成的hipes的硬度。此外,油滴相关网络在G-CA/WPI稳定的hipes的高粘弹性中也发挥了重要作用。CA/WPI和G-CA/WPI稳定的hipes的储存模量分别是CA稳定hipes的2.5 ~ 5倍和M-CA/WPI稳定hipes的1.5 ~ 2.5倍,而临界应力提高了25倍。老挝实验结果进一步证实了CA/WPI和G-CA/WPI稳定hips的抗变形能力提高。由于hipe是由紧密堆积的油滴组成的,因此其流变性能不仅取决于油滴的大小,更重要的是,还取决于界面层的刚度。这些研究结果为理解hipes的流变性与蛋白质颗粒界面特性之间的关系提供了经验证据,有助于开发具有多种应用的hipes。未来的研究应重点关注由不同刚性程度的蛋白质颗粒稳定的hipes的包封性和消化率。
原文链接
https://mp.weixin.qq.com/s/phEGHHwcHT60U28lSPklzQ
地址:365电子官网·(中国)官方网站
邮编:610039
电话:028-87720552
传真:028-87720552
官方微信